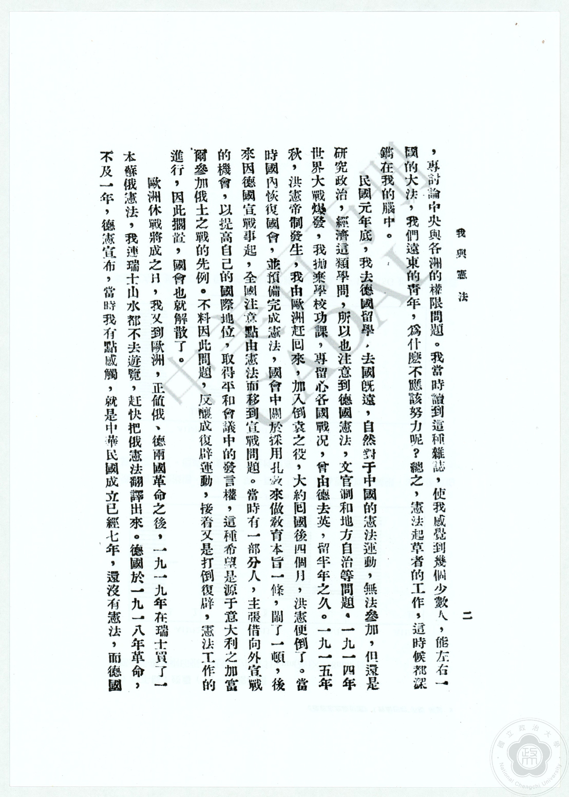
圖說:我與憲法──在廣州中山大學法學院演講

風雲際會的歷史坐標|張君勱的思想與行動



張君勱(1887–1969)的一生,正是近代中國在艱困與變革中追尋憲政與現代化的縮影。出生於清朝衰亡前後,他所經歷的時代,既有列強入侵、軍閥混戰、抗日戰爭與國共內戰,也見證了兩次世界大戰與冷戰初期的動盪局勢。這是一個「多難深重、混亂複雜的歷史交替期」,張君勱則以知識分子的理性與信念,在亂世中尋求憲政與民族重建的可能。


成長於清末國勢動盪、改革思潮湧動的年代,張君勱早年對政治改革萌生興趣。1905年因參加拒俄義勇隊被學堂開除,隨後赴日本早稻田大學政治經濟科留學,受梁啟超立憲思想啟發,確立以憲法為政治基礎的信念。1913年赴德國柏林大學深造,專研政治學,並獲博士學位。1919年隨梁啟超赴歐洲考察,親見巴黎和會列強在山東問題上的強權行徑,他體悟到國家振興須由內在精神力量出發,遂轉向哲學與文化層面,探求民族立國的「心力」,並思考中國政治轉型的道路。


張君勱既是學者,也是行動者。他以憲政理想為終身志業,積極參與政黨與政治改革。1932年,在國共對立的局勢下,他創立中國國家社會黨,主張以民主憲政結合社會公平,探索不同於兩黨的「第三條道路」。抗日戰爭期間,他投入憲政準備工作,1941年擔任中國民主政團同盟(後改為中國民主同盟)常務委員,持續倡議以憲政取代訓政,推動政治民主化。


1946年,中國國家社會黨與民主憲政黨合併,正式成立中國民主社會黨(民社黨),被推選為首任黨主席。同年,他以民社黨代表出席政治協商會議,擔任「憲法草案組」委員,主導《政治協商會議憲法草案》的起草,確立責任內閣制與人權保障的精神,因此被尊為「中華民國憲法之父」。


然而,憲政理想在內戰與政局變動中屢遭挫折。1949年後,張君勱選擇旅居海外,對威權政治深感失望,試圖凝聚海外第三勢力以延續憲政理念,但終未成局。晚年,他轉向哲學與文化研究,成為當代新儒家思想的重要代表之一。


張君勱的一生,從立憲思索到政黨實踐,始終貫徹「以制度保障自由、以文化支撐憲政」的信念。在動盪的時代中,他既是民主憲政的推動者,也是文化重建的思索者,其生命軌跡正映照近代中華民國追尋憲政與現代化的歷程。


圖說:張君勱先生事略
圖說:(十七)民主政治之開始